728x90
「평택청북지구 택지개발사업(3단계)」이
완료됨에 따라 「공간정보의 구축 및
관리 등에 관한 법률」 제86조 및
「지적업무처리규정」 제58조 제2항
규정에 의거 다음과 같이
종전의 지적공부를 폐쇄하고
새로이 작성한 지적공부를
확정ㆍ시행함을 공고합니다.
2020. 11. 18.
평 택 시 장
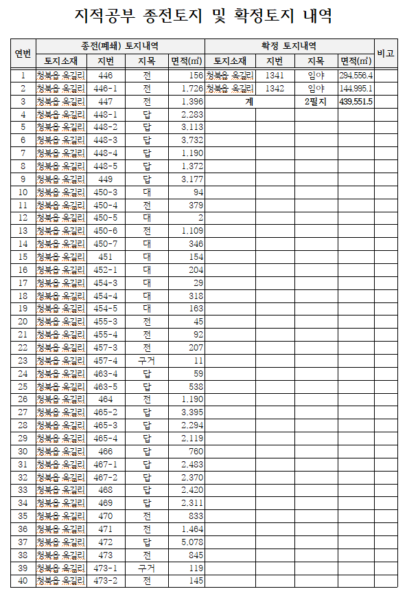
1. 사 업 명: 평택청북지구 택지개발사업(3단계)
2. 사업시행자: 한국토지주택공사
3. 사업위치
- 종전토지: 경기도 평택시 청북읍
옥길리 446 등 323필지(439,999㎡)
- 신규확정: 경기도 평택시 청북읍
옥길리 1341 등 2필지(439,551.5㎡)
4. 증감 내역: 감 321필지(감 447.5㎡)
5. 지적공부 폐쇄 및
지적확정일자: 2020.11.18.(수)










728x90
'청북지구와 청북소식 > 청북(청북)지구 소식' 카테고리의 다른 글
| 청북 의료폐기물소각장에 대한 평택시 입장을 밝힙니다. - 청북 폐기물처리시설 “의료폐기물 처리할 수 없다” - (0) | 2020.12.22 |
|---|---|
| 평택시, 청북 의료폐기물 소각장 추진 관련 입장 발표 (0) | 2020.12.02 |
| 제넨바이오, 250만 달러 투자받아 평택 어연한산 외국인투자기업 임대단지에 인공장기 연구.제조시설 설립 (0) | 2020.11.18 |
| 이화-삼계(2공구) 도로확.포장공사 보상협의 협의공고(공시송달) (0) | 2020.10.10 |
| 평택시, 방치된 청북 골프장 부지 명품 레포츠공원으로 만든다. (0) | 2020.07.14 |